본문 바로가기
재료공학

Fick's law

by intermetallic 2023. 2. 19.

Fick's first law is a fundamental principle in the diffusion field that describes the diffusion rate of a substance in a medium. The law was developed by German physicist Adolf Fick in 1855 and is a simple mathematical expression that relates a substance's concentration gradient to its diffusion rate.

 

https://sciencetech.tistory.com/15

 

확산의 기초 / Diffusion in solids

확산이란? 용매(solvent) A에 용질(solute) B가 고용되어 있다고 가정할 때 이러한 고용체 내에서 B성분 농도의 차이가 있다면, 시간의 경과와 함께, 농도차를 없애는 방향으로 성분B가 이동 하게 된다

sciencetech.tistory.com

 

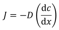
The law states that the rate of diffusion of a substance through a medium is directly proportional to the concentration gradient of the substance and inversely proportional to the distance it must travel. Mathematically, the law can be expressed as:

Where J is the flux of the substance, D is the diffusion coefficient, c is the concentration, and x is the distance. The negative sign indicates that the diffusion is from high concentration to low concentration.

In simpler terms, the law states that the larger the concentration gradient of a substance, the faster it will diffuse through a medium, and the shorter the distance it needs to travel, the faster it will diffuse. This law is used extensively in fields such as chemistry, physics, and biology to model and predict the behavior of diffusing substances in various contexts.

 

Fick's second law is a diffusion equation that describes how the concentration of a substance in a system changes with time due to diffusion. It is an extension of Fick's first law, which describes diffusion as a flux or flow of particles down a concentration gradient.

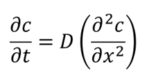
Fick's second law is expressed mathematically as:

where ∂c/∂t is the rate of change of concentration with time, D is the diffusion coefficient, and ∇²c is the Laplacian of the concentration field.

The equation states that the change in concentration with respect to time (∂c/∂t) is proportional to the second derivative of the concentration field (∇²c) and the diffusion coefficient (D). The Laplacian is a measure of the curvature of the concentration field, and it describes how the concentration gradient changes over space.

Fick's second law can be used to model the diffusion of a substance in a system, such as the movement of ions in a battery, the diffusion of drugs in the body, or the spreading of pollutants in the environment. The equation can be solved analytically or numerically to predict the concentration profile of the diffusing substance over time and space.

 

Fick's first law describes the steady-state diffusion of a solute in a solution, while Fick's second law describes the time-dependent diffusion of a solute in a solution.

The main difference between the two laws is that Fick's first law only considers a steady-state system with no net change in concentration. In contrast, Fick's second law accounts for the time-dependent changes in concentration due to diffusion.

Fick's second law also includes the diffusion coefficient as a function of position and time, which allows for a more comprehensive understanding of the diffusion process in non-steady-state systems. This can be useful for modeling the diffusion of solutes in more complex systems, such as in biological tissues or materials undergoing processing or degradation.

'재료공학' 카테고리의 다른 글

Electron Backscatter Diffraction (EBSD)  (0) 2023.02.25
확산 계수를 결정하는 방법  (0) 2023.02.21
EPMA (Electron Probe Micro Analyzer)  (0) 2023.02.19
EPMA와 EDS의 차이점  (0) 2023.02.18
탈성분 부식 (Dealloying)의 의미  (0) 2023.02.18

댓글